高中数学重要知识点,高考数学必考知识..
高中数学重要知识点,高考数学必考知识点总结包括:第一章-集合,第二章函数,第三章-数列,第四章-三角函数,第五章-平面向量、第六章-不等式,第七章-直线与圆的方程,第八章-圆锥曲线,第九章-立体几何,第十章-概率统计,第十一章-导数,第十二章-复数,第十三章-极坐标由组合教育高考数学辅导网为大家整理。
第一章-集合



第二章函数




第三章-数列


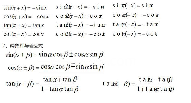
第四章-三角函数







第五章-平面向量






第六章-不等式

第七章-直线与圆的方程





第八章-圆锥曲线




第九章-立体几何





第十章-概率统计

第十一章-导数



第十二章-复数


第十三章-极坐标

以上就是组合教育高考数学在线辅导小编为大家带来非常实用“高中数学重要知识点,高考数学必考知识点总结”高考数学必考知识点,更多内容请关注组合教育高考数学辅导网(www.zuheedu.com)。